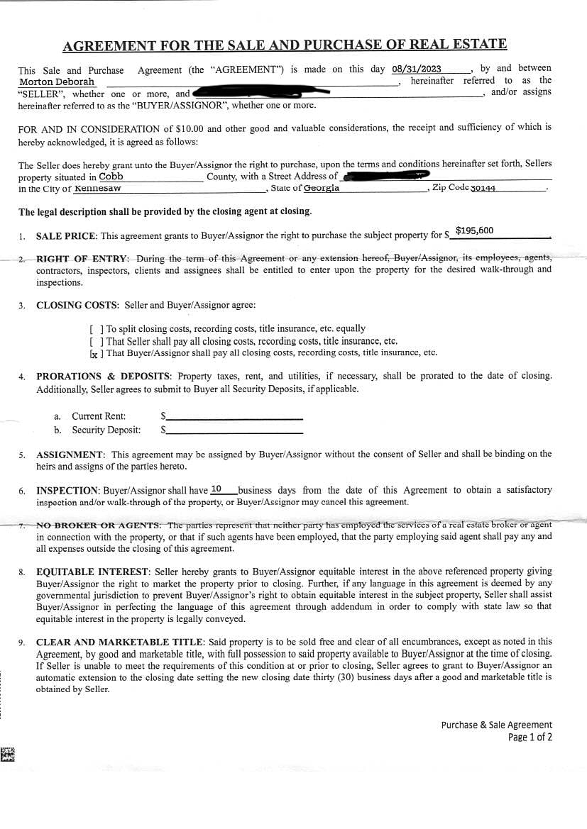
Real Estate
In a market as dynamic and promising as the Atlanta real estate scene, it's unfortunately not uncommon to come across various forms of scams targeted at both buyers and sellers. One such deceptive practice involves seemingly attractive cash offers arriving in your mail, which are, in reality, binding legal agreements that could cost you greatly. Let's unravel how you can identify and avoid falling prey to such schemes.
At first glance, these mailed cash offers may appear to be a quick and hassle-free way to sell your property. However, they are often masked legal contracts that can bind you to unfavorable terms, often with hidden fees and lowball price offers. Understanding the intricacies of these offers is crucial to protect your interests.
Unsolicited Offers: Be wary of unsolicited offers arriving in your mail. It's essential to cross-verify the credibility of the entity making the offer.
Too Good to Be True: If an offer sounds too good to be true, it usually is. Watch out for offers promising a significantly higher market value for your property.
Hidden Charges: Often, these contracts include clauses that imply substantial service fees and other hidden charges, which might not be apparent initially.
Vague Contract Terms: A clear indicator of a scam is a contract that contains ambiguous terms, leaving ample room for exploitation.
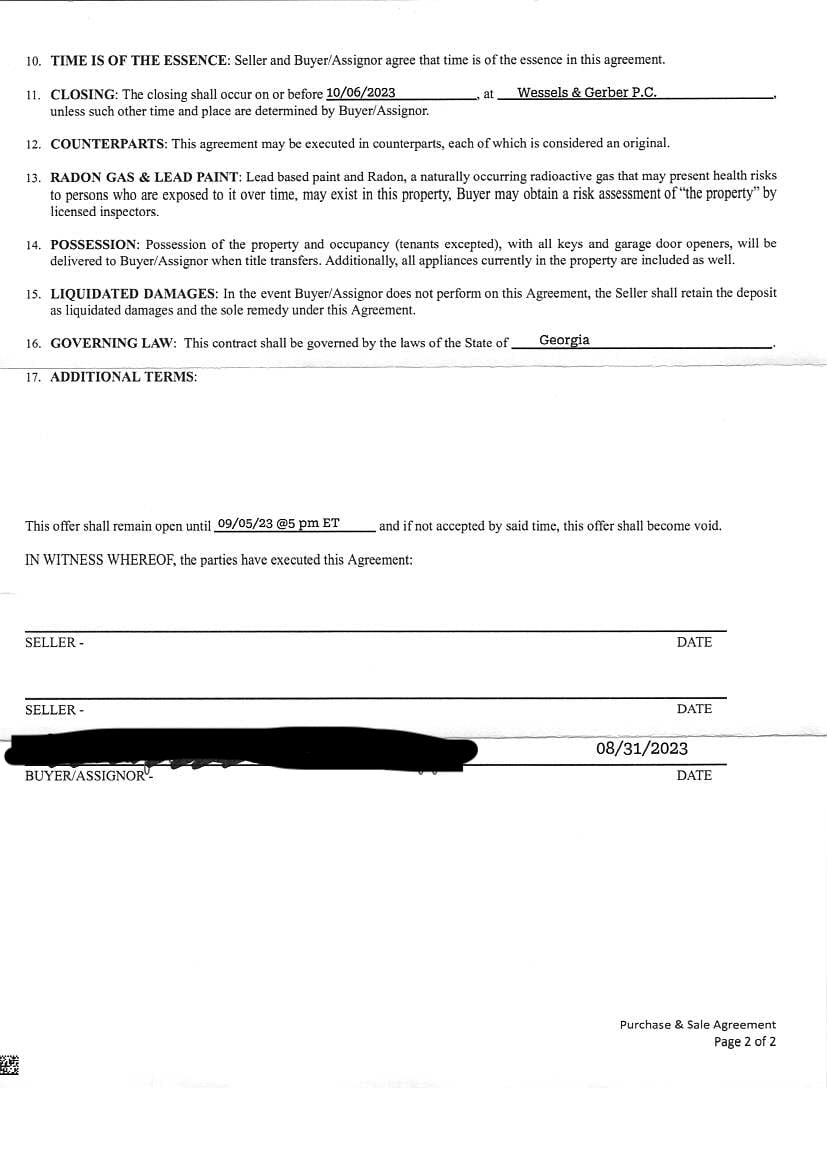
Seek Legal Counsel: Before signing any document, consult with a legal expert to help you navigate through the contract's intricacies.
Research the Company: Conduct a thorough investigation of the company sending the offer. Check their reviews, ratings, and customer testimonials.
Consult with a Reputable Real Estate Agent: Partner with a well-established real estate agency, like Clareo Real Estate, to guide you through the selling process, ensuring transparency and fair dealings.
Report the Scam: If you come across such scams, report them to the appropriate authorities to prevent others from falling victim.
As the real estate market flourishes in the Atlanta area, it's paramount to remain vigilant and informed to avoid falling into traps laid by scammers. At Clareo Real Estate, we prioritize our clients' safety and well-being, providing you with guidance and expertise to navigate the real estate market with confidence. Remember, when in doubt, always seek professional advice before making any decisions.
Start Your New Home Search Now!
Stay up to date on the latest real estate trends.
Atlanta Lifestyle
Pizza comes in many sizes and styles- and true diversity can now be found in Kennesaw pizza places, with regional preferences to enjoy, from a New York pie to a deep … Read more
Market Updates
Atlanta Real Estate During a Government Shutdown
Atlanta Real Estate
Should you list traditionally on the market, or do you take a cash offer?
Real Estate Insights
Navigating Atlanta Real Estate Uncertainty
You’ve got questions, and we can’t wait to answer them.